เมื่อวันที่ 23 มกราคม 2566 ราชกิจจานุเบกษาเผยแพร่ประกาศสำนักทะเบียนกลาง เรื่อง จำนวนราษฎรทั่วราชอาณาจักร ตามหลักฐานการทะเบียนราษฎร ณ วันที่ 31 ธันวาคม 2565 โดยมีเนื้อหาระบุว่า
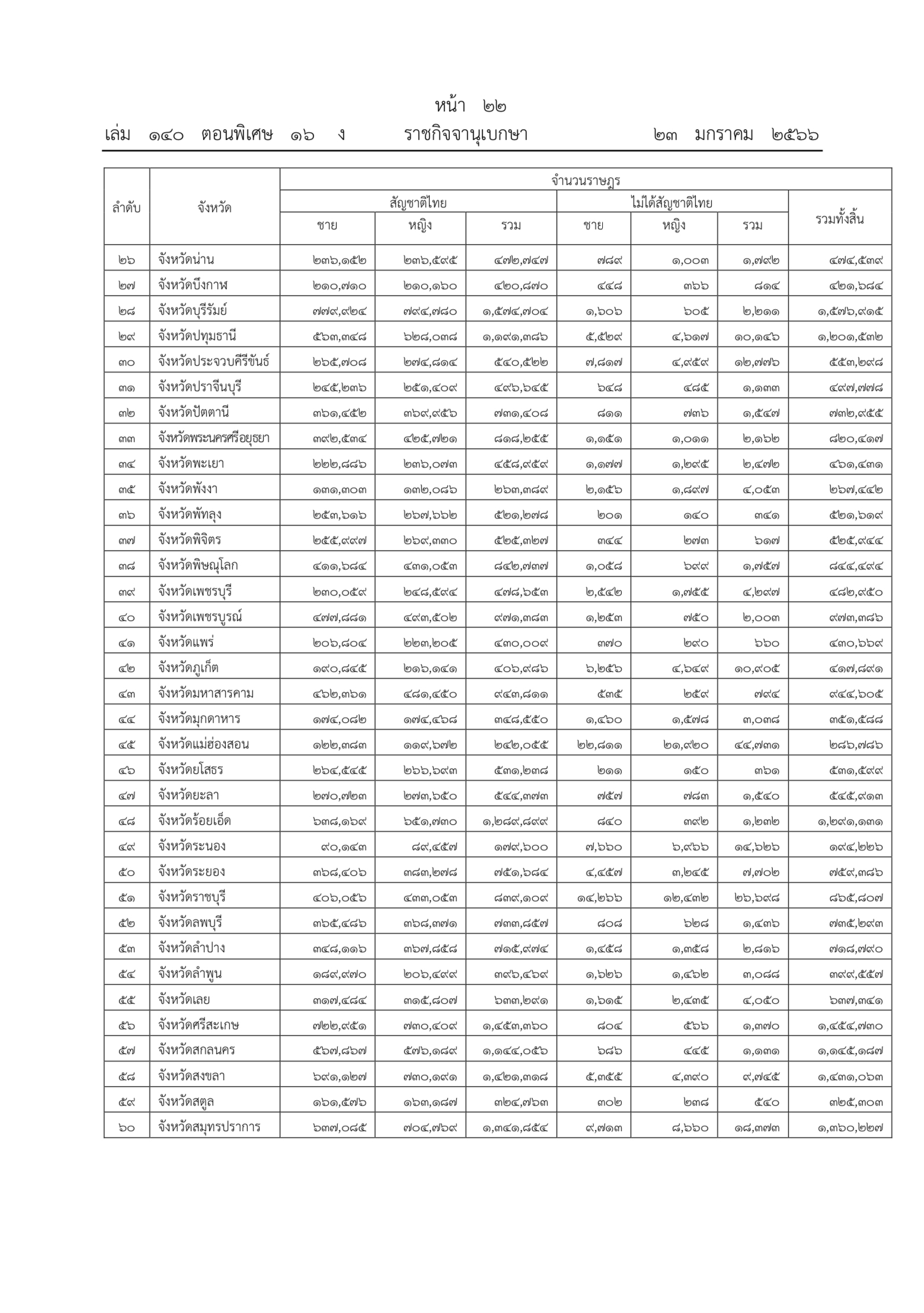
อาศัยอำนาจตามความในมาตรา 45 แห่งพระราชบัญญัติการทะเบียนราษฎร พ.ศ. 2534 ผู้อำนวยการทะเบียนกลาง ประเทศจำนวนราษฎรทั่วราชอาณาจักรตามหลักฐานการทะเบียนราษฎร ณ วันที่ 31 ธันวาคม พ.ศ. 2565 แยกเป็นกรุงเทพมหานครและจังหวัดต่าง ๆ ดังต่อไปนี้
ทั้งนี้พบว่า ทั่วประเทศมีจำนวนราษฎร รวมทั้งสิ้น 66,090,475 คน สัญชาติไทย แบ่งเป็น ชาย 31,755,032 คน หญิง 33,351,449 คน รวม 65,106,481 คน ไม่ได้สัญชาติไทย แยกเป็น ชาย 515,583 คน หญิง 468,411 คน รวม 983,994 คน
จังหวัดที่มีจำนวนราษฎรมากที่สุดคือ กรุงเทพมหานคร มีรวม 5,494,932 คน เป็นสัญชาติไทย 5,394,910 คน และที่ไม่ใช่สัญชาติไทย 100,022 คน
ขณะที่นครราชสีมา มีจำนวนราษฎรมากเป็นอันดับที่ 2 ของประเทศ มี 2,630,058 คน อันดับ 3 อุบลราชธานี 1,869,806 คน อันดับ 4 เชียงใหม่ 1,792,474 คน และอันดับ 5 ขอนแก่น 1,784,641 คน



ร่วมแสดงความคิดเห็น